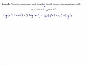
How to Write a Multi Log into a Single Log 的热门建议 |
- Write a Single
Logarithm - How to Log into
NAY - Log
Expressions - How to Express
Logs as a Single Log - Multi-
User Login - Multiple Log into
One Logarithm - Simplify Log
Expressions - Write the Following
as a Single Log - Log 2 5-Log X. Log Y
into the Log of a Single Expression - How to Condense an Expression
into Single Log - Applying Log
Laws to Expressions - Rewrite into Single
Logarithm - How to Write Log into
Exponential Form - Writing Single
Logarithms - How to Log into
Windows Remote - Log
Pre-Calc - Expressing as a Single
Logarithm - Single
Logarithm Examples - Log
in Rate Law Expression - Write the Expression as
the Logarithm of a Single Quantity - Condensing Log
Expressions - Simplifying Log
Expression - How to Rewrite a
Logarithmic Expression as One Single Logarithm - How to Login a
User When They Login.php
跳转到 How to Write a Multi Log into a Single Log 的关键时刻
观看更多视频
更多类似内容
